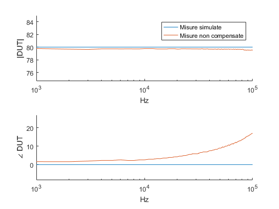
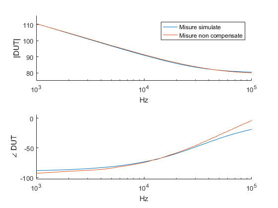
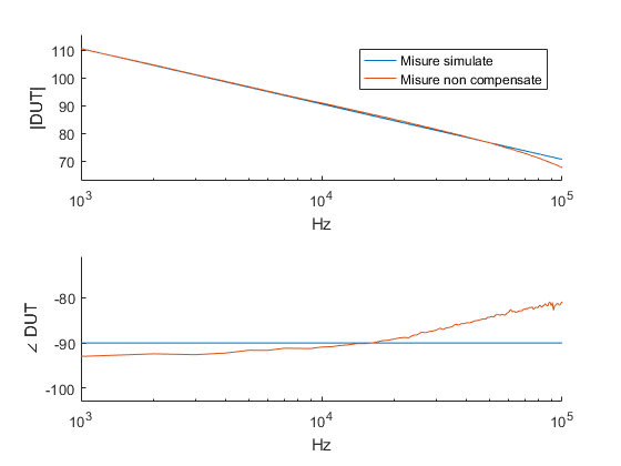
In questa sezione vengono mostrati i grafici di modulo e fase di alcune misure di impedenza utilizzando il circuito realizzato. Per completezza vengono messe a confronto le misure effettuate dallo strumento con quelle simulate mediante Matlab. In particolare i grafici di sinistra confrontano le misure simulate con quelle eseguite dallo strumento senza aver eseguito alcuna taratura dello stesso. Nei grafici di destra invece, dopo aver effettuato una calibratura del circuito, vengono messe a confronto le misure eseguite dallo stesso con quelle simulate.
Esempio di misura del modulo e fase di una resistenza da 10KΩ
Esempio di misura del modulo e fase di una resistenza da 10KΩ in serie con una capacità di 470pF
Esempio di misura del modulo e fase di una resistenza da 36KΩ in serie con una capacità di 470pF
Esempio di misura del modulo e fase di una resistenza da 10KΩ in parallelo ad una capacità di 470pF
Esempio di misura del modulo e fase di una capacità di 470pF










